忍者ブログ

GameDesign 西部劇TRPG開発日誌

[PR]

×

[PR]上記の広告は3ヶ月以上新規記事投稿のないブログに表示されています。新しい記事を書く事で広告が消えます。

[Westen]COLT SAA

 COLT SAAの2ndジェネレーションは、シリンダーがこのように外れます。



PR

[Western]リロード

REMINGTON 1858 NEW MODEL ARMY


[TRPG]法律学者のTRPG

 遭遇したケースで、当方とは性が合わないのが「法律学者のTRPG」とでも言うべきもの。


 「ルール」にあるから、ないから、といって、ロールプレイ(役割演技、またキャスト的な演技も含む)がおかしくなるもの。


 TORGで一向に戦闘を終わらせず、シナリオが終わるまでとっておくと成長に有利なドラマカードが全部出尽くすまで長引かせる。
 DEADLANDSで射撃時、考えうる最悪の事態のファンブルによってGMがPCに失明のペナルティを与えた。にもかかわらず失明は「ルール」にないからと、普段どおりの能力を発揮する。


 このような考えはTRPGの「ルール」をガイドラインとして捉えておらず、法律体系のようなものとして、審判というより判決を導くようなものとして捉えているのだと思う。
 「ルール」を法律扱いして、それに従うことでアドバンテージを得ようとする。または「ルール」にないとして、失明などを処理しない。


 何が欠落しているのかというと、人によっては常識、想像力、コミュニケーション能力などを挙げるかもしれない。


 PSPでモンハン通信プレイでもしたら、ルールどおりで、ロールプレイもいらず、GMも不要です。「法律学者のTRPG」をやるにはもってこいだと思います。


 わざわざ人と人でやるようなTRPGには、TRPGなりの要素を持っているはずでしょう。


 ルールどおりではなく、ロールプレイが不可欠で、GMを必要とします。
 これがTRPGとして肝心なところで、この形態の遊びの可能性はまだまだ切り開く余地があると思います。


[WESTREN]GUNS OF THE WILD WEST

 届きました洋書です。メジャーな銃器カタログになります。
 写真に掲載されているのは、かなりピックアップされていて、代表的な銃器です。
 ただし装弾数や、年代には触れていませんが、エピソードは豊富です。
 バッファロー・ビル・ヒストリカル・センターのコレクションの写真が用いられていて、銃器の写真は全て最高のコンディションのものです。函館の五稜郭にあるスペンサーは学芸員が最悪なのか、サビの塊で可愛そうでした。

Guns of the Wild West (Buffalo Bill Historical Centre)Guns of the Wild West (Buffalo Bill Historical Centre) Guns of the Wild West (Buffalo Bill Historical Centre)
メーカー:Running Press
発送:通常11~14日以内に発送
 
David Kennedy (著)

[つれづれ]私本管理Plus

 資料がたくさんある場合、

http://homepage1.nifty.com/EKAKIN/


 の「私本管理Plus」というソフトが非常に便利です。

 ISBNを打ち込む手間を考えると、USBバーコードリーダーがお勧め。


Bitatek 超激安低価格バーコードリーダー USB接続 PS-800-USB(HID)Bitatek 超激安低価格バーコードリーダー USB接続 PS-800-USB(HID) 【製品の主な事項】
■製品構成:・バーコードリーダー PS800本体(ストレートUSBケーブル直付:2m)・設定マニュアル(英語版)・保証書 
■メーカー保証:2年(納品日より) 
■初期不良期間:2週間(納品日より) 
【読取り仕様】
■読取り可能バーコード:
〔出荷時読取可能〕Code 39,Interleave 2 of 5, EAN-13, EAN-8, UPC-A, UPC-EMSI/PLESSY 
〔出荷時読取不可〕Code 39 extended,Code 32, EAN-128, Chinese Postage Code, IATA,STD 2 of 5, Matrix 2 of 5, Italian Pharmacy Code, Industrial 2 of 5, BC-412 
■スキャンスピード:100スキャン/秒  
■最大読取り幅:120mm (離読み時) 
■読取深度 (距離):0~50mm (EAN:100% PCS:90%読取時) 
■最小分解能 (解像度):0.1mm 
■読取確認:LED、ブザー 
【外観仕様】
■外形寸法:93(W)x58(D)x170(H)mm ※突起部分を含む 
■重量:120g (PS800スキャナ本体のみ/ケーブル、コネクタ含まず)  
■ケーブル長:2m (ストレート)
 
osadasoft


[SYS]最低命中確率

 テ・ア・アゲキャンの本にこんな問題と解がありました。

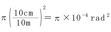
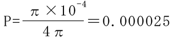
 空気銃が故障のため暴発したとする。10mの距離のところにある半径10cmの円形目標に命中する確率を求めよ。ただし、弾丸はどこの方向にも等確率で飛んでいくものとする。

 解:弾丸が飛んでいくすべての同様に確からしい方向は無限集合になる。しかし、好都合な場合の数との比は、近似的に


暴発計算1 

 である目標の立体角と全立体角4π との比に等しい。したがって、求める確率は



暴発計算2 
 約0.0025%

 …ずいぶん高い確率です。


 つまり、銃の暴発で10m離れていても、頭を打ち抜かれる確率はこれだけあるということです。




[WESTERN]大西部物語

大西部物語(タイムライフブックス)

 この資料をお借りしていたのですが、入手しました。
 洋書では続刊があるそうですが、翻訳版でやはり揃えたいです。

 中古で大西部物語「エクスプレスマン」のみ。↓

[WESTERN]コルト・ネービーその2

コルト・ネービー 
 コルト・ネービー古美術品を見せていただきました。ハンマーはとても重く、非力な人は両手を使わなければ無理です。トリガーは全く力はいりません。セーフティは、雷管と雷管の間にハンマーを下ろしておくので、SAAのように5発装填で持っておく必要はなく、6発フル装填で十分安全でしょう。


コルト・ネービー 
 シリンダーは簡単に外せます。パーカッション式リボルバーは「元込め式」です。


弾丸鋳造器1
 弾丸鋳造器。穴に鉛を溶かし込みます。
 

弾丸鋳造器2
 弾丸鋳造器内部。丸い弾丸とドングリ形の弾丸を作ることが出来ます。