忍者ブログ

GameDesign 西部劇TRPG開発日誌

[PR]

×

[PR]上記の広告は3ヶ月以上新規記事投稿のないブログに表示されています。新しい記事を書く事で広告が消えます。

[TRPG]キャリアシステム

 こちらの公表済みのアイデア、キャリアシステムを、

 「パクらせて下さい」とお申し出がありましたので、取り決めをして許可しました。

 M上M志さんです。許可済みですので、記録しておきます。


PR

[SYS]最低命中確率

 テ・ア・アゲキャンの本にこんな問題と解がありました。

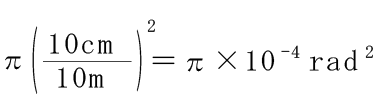
 空気銃が故障のため暴発したとする。10mの距離のところにある半径10cmの円形目標に命中する確率を求めよ。ただし、弾丸はどこの方向にも等確率で飛んでいくものとする。

 解:弾丸が飛んでいくすべての同様に確からしい方向は無限集合になる。しかし、好都合な場合の数との比は、近似的に


暴発計算1 

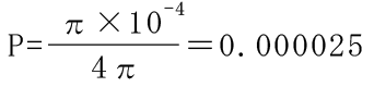
 である目標の立体角と全立体角4π との比に等しい。したがって、求める確率は



暴発計算2 
 約0.0025%

 …ずいぶん高い確率です。


 つまり、銃の暴発で10m離れていても、頭を打ち抜かれる確率はこれだけあるということです。




[SYS]戦闘システム論からTRPGの物語論。

 昔のことに遡りますが、ファイティング・ファンタジーD&Dの戦闘システムを駆動させたとき、


 「これはスゴロクだ」

 と、直観的に感じました。
 いや、スゴロクを否定しているわけではないのですが、トンネルズ&トロールズとは、明らかに違う性質の「スゴロク感」を感じたのです。

 今ゲームをデザインしていますが、あの時感じたのは、「可変トーナメント形式」と呼べるような、手番処理の違和感でした。トンネルズ&トロールズはリーグ戦のような感じです。

 例えると、野球のスコアボードに、先攻・後攻の得点(オモテ・ウラ)が記入されて、そのまま別の試合に移るような、トーナメント。
 甲子園の野球を、一回のオモテ又はウラごとに、対戦チームごとすりかえて行くような形式。得点されたのが限界以上だと、敗退。さらに、一回ごとにシード権があって、生き残りは晴れて甲子園球場へ、の、ような感触。

 (トンネルズ&トロールズでは、オモテ・ウラの一回を処理して戦い続けるのですが、それは単純にGMの負担軽減のためか、戦闘のみに頼らないデザイン方針からだったと思います。こちらの作品には、「トロールの言葉」という、臨機応変なルール運用と改造について記載されていました。)

 この概念の突破は、恐らくできないのかもしれない。
 まず、言語が直線的に文法に沿って語られることがあります。その時点でこの限界はあるかもしれない。

 思うに、このTRPGの限界からして、サバイバルゲームのような、本当に非直線的(同時手番)なゲームという範疇とは、異なると思います。そしてそのようなゲームは、目的の達成感を強烈に持つのだとも。サバイバルゲームの雑誌の記事と取材されるゲームプレイ自体は、とても連続整合のある物語性をもつとはいえません。もしこのようなものに、物語性を求めるとしたら、ヤラセか、記録メディアを通した映画撮影に近いものに、リアルタイムではできないエディットを施したものになります。

 TRPGの展開は、選択肢と呼びうるかもしれない、一軸基底の『解釈とその超出』にあって、追跡するとすれば直線的(逐次手番)で、物語的です。エディットは常に介在しています。それでも展開の連鎖、プロセスという並び、シークエンスの完成の達成感を持ちます。

 つまり、物語的に面白いTRPGがもつのは、ポーカーや麻雀の「役」揃えのような、組み合わせ的な達成感とすると、物語的につまらない(物語を無視したような)TRPGがもつのは、順列的でいて組み合わせに不都合な「ブタ」のようなものとはいえませんか。
 この特性は、なぜ連続的整合を目指そうとすることが楽しいかという理由になります。

 こうして俯瞰すると、ゲーム性と物語性は全く相反する概念にはなりえないし、むしろ、親和性が高いともいえると思います。


[SYS]メジャーファクトリーのガン・リスト

 メジャーファクトリーのガンはとりあえず製品名までは、リスト・アップできました。
 700種類を上回りますが、結局のところ、

 何口径、銃身長、
 何連発か、
 重さは?
 シングル・アクションだけれどもファニング(扇撃ち)ができない、

 などなど細部が面白いところなので、情報の整理をさらに深めているところです。

[SYS]「戦闘の科学 軍事ORの理論」

 きちんと捜索理論から載っている本。
 交戦理論の中で、ゲーム理論はごく一部を形成しているだけの扱いなのが良くわかります。

[SYS]CEPの概念。

誤差ミル 17.7
目標サイズ、半径m 2
標的までの距離m 20
σからCEP基準値 1.177410023
ミルからラジアン 0.017376934
タンジェント 0.347573672
幅正規分布 5.754175762
確率 0.999993541
標的誤差 5.754175762


 

距離 誤差 標準偏差 確率 CEP
0 0 #DIV/0! #DIV/0! #DIV/0!
5 0.086893418 11.50835152 100.00000000000000000 67.75024213
10 0.173786836 5.754175762 100.00000000000000000 67.75024213
15 0.260680254 3.836117174 99.99999999998350000 67.75024213
20 0.347573672 2.877087881 99.99999354140760000 67.75024213
25 0.43446709 2.301670305 99.99749684213130000 67.75024213
30 0.521360508 1.918058587 99.93624625183930000 67.75024213
35 0.608253926 1.644050218 99.55095494455910000 67.75024213
40 0.695147344 1.43854394 98.40583059880320000 67.75024213
45 0.782040762 1.278705725 96.20002865975740000 67.75024213
50 0.868934181 1.150835152 92.92670029465200000 67.75024213
55 0.955827599 1.046213775 88.79854522335450000 67.75024213
60 1.042721017 0.959029294 84.10990730630740000 67.75024213
65 1.129614435 0.885257809 79.14054323091780000 67.75024213
70 1.216507853 0.822025109 74.11355100471410000 67.75024213
75 1.303401271 0.767223435 69.18792717821220000 67.75024213
80 1.390294689 0.71927197 64.46685752716820000 67.75024213
85 1.477188107 0.676961854 60.01055750694180000 67.75024213
90 1.564081525 0.639352862 55.84853889308680000 67.75024213
95 1.650974943 0.605702712 51.98955286172230000 67.75024213
100 1.737868361 0.575417576 48.42900448276120000 67.75024213
105 1.824761779 0.548016739 45.15420648428100000 67.75024213
110 1.911655197 0.523106887 42.14796937088360000 67.75024213
115 1.998548615 0.50036311 39.39098145519190000 67.75024213
120 2.085442033 0.479514647 36.86333939517040000 67.75024213
125 2.172335451 0.460334061 34.54549699477120000 67.75024213
130 2.259228869 0.442628905 32.41882341684510000 67.75024213
135 2.346122287 0.426235242 30.46590390128450000 67.75024213
140 2.433015705 0.411012554 28.67067406932080000 67.75024213
145 2.519909124 0.396839708 27.01844932161320000 67.75024213
150 2.606802542 0.383611717 25.49589038595180000 67.75024213
155 2.69369596 0.371237146 24.09093209706770000 67.75024213
160 2.780589378 0.359635985 22.79269302968950000 67.75024213
165 2.867482796 0.348737925 21.59137724773060000 67.75024213
170 2.954376214 0.338480927 20.47817519040920000 67.75024213
175 3.041269632 0.328810044 19.44516790847470000 67.75024213
180 3.12816305 0.319676431 18.48523702378610000 67.75024213
185 3.215056468 0.311036528 17.59198159554080000 67.75024213
190 3.301949886 0.302851356 16.75964232106150000 67.75024213
195 3.388843304 0.295085936 15.98303303255820000 67.75024213
200 3.475736722 0.287708788 15.25747917545100000 67.75024213
205 3.56263014 0.280691501 14.57876280257810000 67.75024213
210 3.649523558 0.27400837 13.94307354759190000 67.75024213
215 3.736416976 0.267636082 13.34696502044100000 67.75024213
220 3.823310394 0.261553444 12.78731607838090000 67.75024213
225 3.910203812 0.255741145 12.26129645447290000 67.75024213
230 3.99709723 0.250181555 11.76633626357170000 67.75024213
235 4.083990648 0.244858543 11.30009894793460000 67.75024213
240 4.170884066 0.239757323 10.86045726742050000 67.75024213
245 4.257777485 0.234864317 10.44547198072180000 67.75024213
250 4.344670903 0.23016703 10.05337290303490000 67.75024213
255 4.431564321 0.225653951 9.68254206142278000 67.75024213
260 4.518457739 0.221314452 9.33149870164262000 67.75024213
265 4.605351157 0.217138708 8.99888592941115000 67.75024213
270 4.692244575 0.213117621 8.68345879509675000 67.75024213
275 4.779137993 0.209242755 8.38407365388596000 67.75024213
280 4.866031411 0.205506277 8.09967865382255000 67.75024213
285 4.952924829 0.201900904 7.82930522202555000 67.75024213
290 5.039818247 0.198419854 7.57206043511753000 67.75024213
295 5.126711665 0.195056805 7.32712017368244000 67.75024213
300 5.213605083 0.191805859 7.09372297264872000 67.75024213

 距離、標準偏差に関わらずCEPは不動です。悪戦苦闘の結果、数式の理解が及びました。ただし、この値は恐らく、目安であって、直径を半径にする、円にする操作が必要なはず。

 CEPは、以下のようにr/CEPと考えればよいのです。


半径r/cep ロール
0.1 0.69075
0.2 2.73451
0.3 6.04773
0.4 10.49749
0.5 15.91036
0.6 22.08354
0.7 28.79749
0.8 35.82871
0.9 42.96181
1 50.00000
1.1 56.77314
1.2 63.14327
1.3 69.00731
1.4 74.29715
1.5 78.97759
1.6 83.04245
1.7 86.50965
1.8 89.41568
1.9 91.81004
2 93.75000
2.1 95.29610
2.2 96.50848
2.3 97.44406
2.4 98.15470
2.5 98.68610
2.6 99.07735
2.7 99.36101
2.8 99.56356
2.9 99.70601
3 99.80469

 

携帯電話にiアプリ実装か、計算サイトを立ち上げると結果が出てくるような形式を考えています。
 現時点で一様分布かその組み合わせにしか頼れなかったTRPGの限界を突破したいと思います。



[SYS]「ヒット」「バイタル」「メンタル」プレッシャー

 「ヒット」「バイタル」「メンタル」プレッシャーとは、不都合な負荷の値を示します。
 これらのプレッシャーを受けても、物語上、盛り上がりの都合上、キャラクターのスペックには何の影響もありません。
 ただし、これらを演出してダメージを負ったり、疲れや病気、自棄酒などを演出したロールプレイができるようになります。それが評価されるものであればポイントが与えられます。
 命中判定の結果も都合上無しとして処理できますが、ありとしてもよいのです。

[SYS]暫定のキャラクターシート&レコードシート

 できるだけ公開していくと決めたことなので、以下が暫定のキャラクターシートとレコードシートになります。

↓ こちらがキャラクターシート(1)
キャラクターシート1

↓ こちらがキャラクターシート(2)
キャラクターシート2

↓ こちらがレコードシート「人間関係シート」
レコードシート1

です。

ダウンロード(pdf)